数学中国

 找回密码
 注册
搜索
热搜: 活动 交友 discuz
楼主: ywl

是否可推出一定有 x=y ?

[复制链接]
 楼主| 发表于 2015-8-31 16:35 | 显示全部楼层
本帖最后由 ywl 于 2015-8-31 08:40 编辑

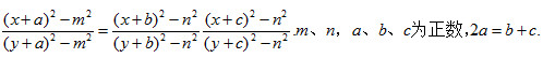
陆老师:本楼等式背景如下。

△ABC中,x=BE,y=CD,AH=m,BD=CE=n,AE+BH=AD+CH=a,BC=b,AE+AD=c.
发表于 2015-8-31 18:03 | 显示全部楼层
ywl 发表于 2015-8-31 09:23
这个多少年来自称是基督徒的家伙开始满口喷粪了!“但感恩,谦虚之中华美德从小你的父母该教你了吧?”首 ...

竟然拿信仰说事。。。。
原来的确你的父母没教过你感恩,谦虚之中华美德。一个有养没教的人,这么狂躁可以理解,理解。
 楼主| 发表于 2015-9-1 09:45 | 显示全部楼层
drc2000回来 发表于 2015-8-31 10:03
竟然拿信仰说事。。。。
原来的确你的父母没教过你感恩,谦虚之中华美德。一个有养没教的人,这么狂躁可 ...

drc2000:我自发帖以后,在楼对陆老师及其他解析(包括了drc2000)早已表示感谢。但他还竟要无耻地要对他感恩。更可恶的是他变本加厉首先对我进行人身攻击,进而对我早已去世的父母人格反复诽谤侮辱,你是流浪还是在孤儿院长大???我的父母对你怎么了???会把你叫过去或找你质问的!!!你会遭报应的,不是不报,时候还未到,只是让你先发狂!时候到了全部回报,让你在惶惶不安中度日!!!
drc2000:你到底信仰什么?你信仰的是什么上帝???近期你的种种行为说明你信的是魔鬼,信的是邪教,你被邪教洗脑中毒很深,还在此口口声声大谈“谦虚之中华美德”,简直是可笑至极!你的逻辑就是美国西方式的霸道强权,只会指责别人没有人权,从不视自己的人权状况。你的谦虚在哪里???你的美德在哪里???你的美国西方祖宗到底给你教会了什么???
 楼主| 发表于 2015-9-1 10:04 | 显示全部楼层
drc2000大谈“谦虚之中华美德”你信吗?据说他信上帝。

本帖子中包含更多资源

您需要 登录 才可以下载或查看,没有帐号?注册

x
发表于 2015-9-1 19:28 | 显示全部楼层
本帖最后由 wangyangkee 于 2015-9-1 11:34 编辑

本帖子中包含更多资源

您需要 登录 才可以下载或查看,没有帐号?注册

x
发表于 2015-9-1 21:11 | 显示全部楼层
一个有养没教的人,这么狂躁可以理解,理解。
 楼主| 发表于 2015-9-2 15:18 | 显示全部楼层

本帖子中包含更多资源

您需要 登录 才可以下载或查看,没有帐号?注册

x
 楼主| 发表于 2015-9-2 15:37 | 显示全部楼层
本帖最后由 ywl 于 2015-9-2 08:41 编辑

可怜的drc2000:你那仅有的那点上帝教养,这次表演的淋漓尽致,那就是虚伪蛮横最终可怜;至于数学“教养”实在是令人不敢恭维,解答的问题是否正确或全面自己都搞不清楚,就这点本事,还敢抢在陆老师前面喧宾夺主“抢答”,就这我还尊重了你付出的劳动,给予了道谢,给你给足了面子,你还嫌不足,之后竟然恬不知耻地乞求感恩,不成就对别人进行人身攻击或人格侮辱,动辄指责别人没教养,你这是哪门子教养,是谁教养的???你只会抢答,你真该到赵本山那去看看或治治病,。你还有脸大谈“谦虚之中华美德”,真是羞死人了!drc2000的嘴脸,如同如下这位参加“选美”的。

本帖子中包含更多资源

您需要 登录 才可以下载或查看,没有帐号?注册

x
发表于 2015-9-2 19:27 | 显示全部楼层
你很无聊,从你发的这些垃圾图片,只能够体现 ywl 的人品的低档次,更体现你的无聊与卑鄙。
发表于 2015-9-2 19:39 | 显示全部楼层
你整日与这些垃圾图片为伍,经常拿这些垃圾当武器,你已经分不出善恶美丑。
从这点看来,你整日与垃圾做伴生活在一起的人心态也发生了变化,甚至求助于垃圾毒草,堕落到靠出卖自己的灵魂的地步,这也难怪你变态到了这个地步。
您需要登录后才可以回帖 登录 | 注册

本版积分规则

Archiver|手机版|小黑屋|数学中国 ( 京ICP备05040119号 )

GMT+8, 2026-5-18 10:09 , Processed in 0.127589 second(s), 15 queries .

Powered by Discuz! X3.4

Copyright © 2001-2020, Tencent Cloud.

快速回复 返回顶部 返回列表